英文名称:ARGININE and TRIETHANOLAMINE
分子立体结构:

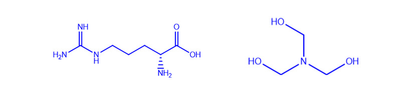
分子结构简式:

化学结构特征:
|
|
官能团 |
官能团名称 |
官能团个数 |
官能团特征和作用 |
|
精氨酸 |
NH2 |
伯胺 |
2 |
碱性,在染发和烫发产品中,代替氨水,打开头发毛鳞片,对头发天然色素具有温和的脱色提浅和染色功能。 |
|
NH |
仲胺 |
2 |
||
|
COOH |
羧酸 |
1 |
降低分子的内卷碱度,同氨基官能团协同作用,具有亲肤和保湿作用。 |
|
|
三乙醇胺 |
CH2-CH2-OH |
羟乙基 |
1 |
弱碱性,中和精氨酸的羧基。 |
|
N |
叔胺 |
1 |
理化指标:
|
项目 |
指标 |
标准 |
|
外观(25℃) |
淡黄色透明液体 |
淡黄色透明液体 |
|
PH(25℃,1%水溶液) |
10.4-10.8 |
GB/T 6368 |
产品应用:
1、主要用于干燥皮肤的调理,它能保持皮肤水合,光滑,减少头皮屑;
2、在染发和烫发产品中,代替氨水、单乙醇胺或其他它碱化剂,大大降低烫染产品的臭味和刺激性,提高烫染产品的使用体验感;
3、在染发和烫发产品中,代替氨水、单乙醇胺或其他它碱化剂,大大降低烫染产品对头发的损伤;
4、用于化妆品的中和剂;
参考配方及建议用量:建议用量1.0-10.0%
包装:25kg桶装
注意事项
本品按一般化学品规定运输及存储,请远离热源,存放于干燥通风处。本品未使用完请注意密封保存,
室温阴凉干燥环境下存放;保质期:12 个月。

| 广州市白云区太和镇北太路民营科技园绿地汇创5栋13层1309房 |
![]() 地址 |
| 020-36773976 | ![]() 电话 |

